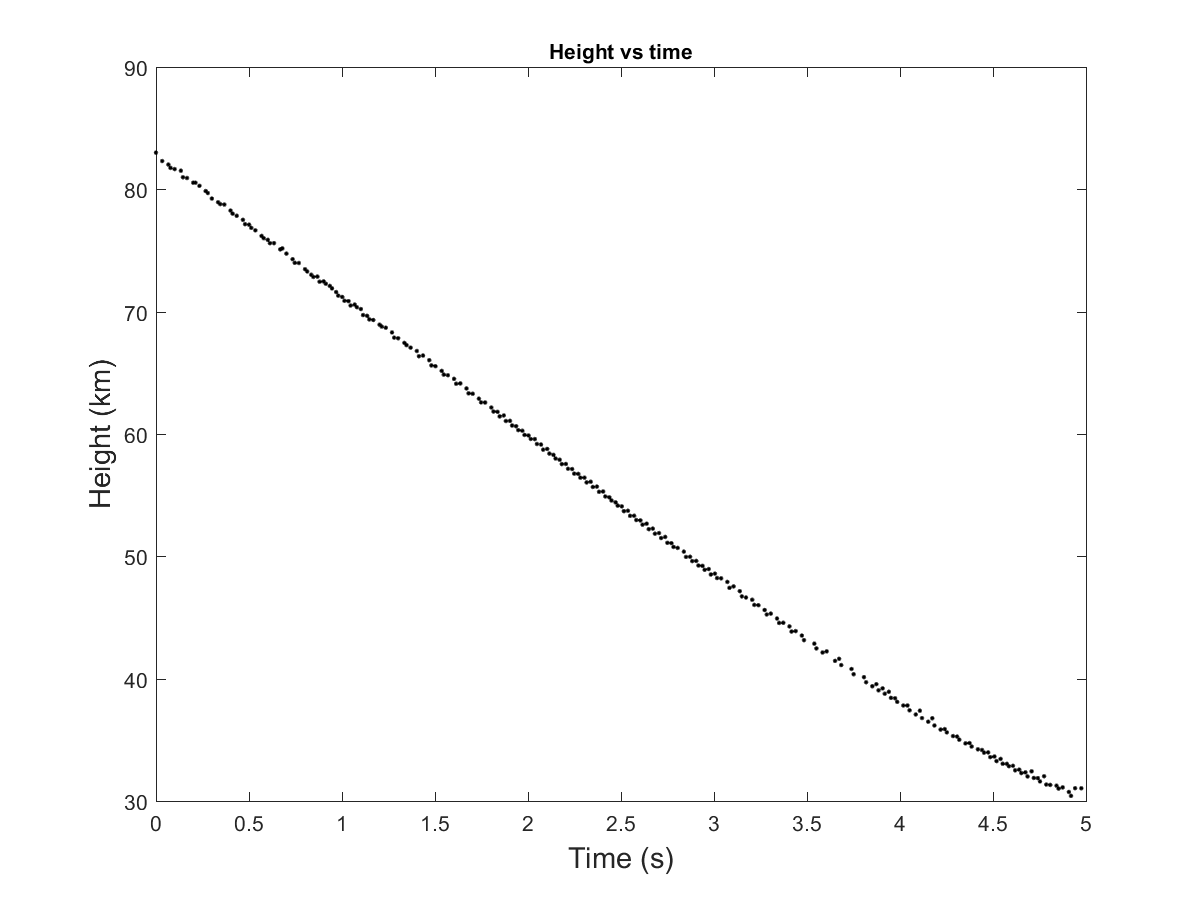
Calcolata la traiettoria del bolide di sabato 18 agosto scorso. Lo staff del gruppo di Astrometria/Traiettorie della rete PRISMA composto da D.Barghini, A.Carbognani e D.Gardiol ha triangolato i dati disponibili dalle due camere che hanno rilevato l’evento. Il calcolo ha portato a concludere che la traccia luminosa è diventata visibile a una quota di 83 km, sopra il Mare Adriatico. Il bolide ha proseguito la sua strada con una inclinazione di 32° rispetto al terreno in direzione Nord-Ovest per estinguersi alla quota di 31 km alle coordinate 43.6320°N, 13.2252°E nell’entroterra di Senigallia. La velocità prima dell’ingresso in atmosfera è stata stimata di circa 21 km/s.
Grafico che mostra l’evoluzione della quota del bolide in funzione del tempo
